W pewnym trapezie połączono środki dwóch ramion, wykaż równoległość pomiędzy tym odcinkiem, a pozostałymi bokami figury.
Stwórz rysunek pomocniczy trapezu oraz przedłuż jego ramiona aż do przecięcia się.
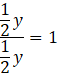
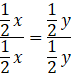
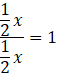
x – długość jednego z ramion trapezu.
y – długość drugiego z ramion trapezu.
Skorzystaj z twierdzenia odwrotnego do twierdzenia Talesa i sprawdź, czy odcinek, dzielący ramiona na pół, jest równoległy do podstaw:
Stąd:
Stąd wynika, że odcinek dzielący ramiona trapezu na pół jest równoległy do podstaw. Twierdzenie odwrotne do twierdzenia Talesa jest spełnione.
Stwórz rysunek pomocniczy. Jeśli wydłużysz ramiona trapezu, utworzą one kąt, który umożliwi skorzystanie z twierdzenia odwrotnego do twierdzenia Talesa. Wykorzystaj to twierdzenie do przeprowadzenia dowodu.
Zadanie 1.
116Zadanie 2.
116Zadanie 3.
117Zadanie 4.
117Zadanie 5.
117Zadanie 9.
118Zadanie 10.
118Zadanie 11.
119Zadanie 12.
119Ćwiczenie B.
121Zadanie 1.
122Zadanie 2.
122Zadanie 3.
122Zadanie 4.
123Zadanie 5.
123Zadanie 6.
123Zadanie 7.
123Zadanie 9.
123Zadanie 11.
124Zadanie 12.
125Zadanie 20.
127Zadanie 21.
127Ćwiczenie A.
128Ćwiczenie B.
129Zadanie 1.
130Zadanie 2.
131Zadanie 3.
131Zadanie 4.
131Zadanie 5.
131Zadanie 6.
132Zadanie 10.
132Zadanie 13.
132Zadanie 14.
133Zadanie 16.
133Zadanie 18.
134Zadanie 1.
135Zadanie 4.
136Zadanie 5.
136Zadanie 9.
137Zadanie 12.
138Ćwiczenie B.
140Zadanie 1.
141Zadanie 3.
141Zadanie 4.
141Zadanie 5.
141Zadanie 6.
142Zadanie 7.
142Zadanie 8.
142