Udowodnij, że pomiędzy narysowanymi trójkątami, a trójkątem ABC istnieje podobieństwo oraz policz ich skalę podobieństwa do trójkąta ABC. Odpowiedź zapisz w kolejności rosnącej.
Każdy z tych trójkątów ma jeden kąt prosty. Trójkąt w lewym dolnym rogu prostokąta ma jeden bok α, co oznacza, że jest podobny do ABC z cechy KK. Każdy z tych trójkątów ma przynajmniej jeden kąt wierzchołkowy z sąsiednim, różny od 90°, co oznacza, że jedyne kąty, jakie pojawiają się w tych trójkątach to α, β oraz 90°, stąd wszystkie te trójkąty podobne są do ABC z cechy KK. Koniec dowodu.
Oblicz skale podobieństwa, przyjmij, że bok jednego kwadratu ma długość 1 (zaczynasz od prawego górnego trójkąta i idziesz po kolei):
Pierwszy trójkąt:
Długość jego krótszego boku:
Oznacza to, że wierzchołek stykający się z następnym trójkątem znajduje się w połowie boku kwadratu.
Drugi trójkąt:
Długość jego dłuższego boku:
Oznacza to, że wierzchołek stykający się z następnym trójkątem dzieli bok kwadratu w stosunku 1 : 2.
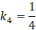
Trzeci trójkąt:
Czwarty trójkąt:
Skale podobieństwa tych trójkątów to:
Zauważ, że wszystkie trójkąty mają kąt 90° oraz oprócz tych na rogach kwadratu, mają same kąty wierzchołkowe. Oznacz wszystkie kąty (oprócz kąta 90°) jakoα, β i zauważ, że wszystkie mają takie same kąty. Przyjmij pewną długość jednego boku małego kwadratu i oblicz za jego pomocą boki trójkątów. Następnie oblicz poszczególne skale podobieństwa.
Zadanie 1.
116Zadanie 2.
116Zadanie 3.
117Zadanie 4.
117Zadanie 5.
117Zadanie 9.
118Zadanie 10.
118Zadanie 11.
119Zadanie 12.
119Ćwiczenie B.
121Zadanie 1.
122Zadanie 2.
122Zadanie 3.
122Zadanie 4.
123Zadanie 5.
123Zadanie 6.
123Zadanie 7.
123Zadanie 9.
123Zadanie 11.
124Zadanie 12.
125Zadanie 20.
127Zadanie 21.
127Ćwiczenie A.
128Ćwiczenie B.
129Zadanie 1.
130Zadanie 2.
131Zadanie 3.
131Zadanie 4.
131Zadanie 5.
131Zadanie 6.
132Zadanie 10.
132Zadanie 13.
132Zadanie 14.
133Zadanie 16.
133Zadanie 18.
134Zadanie 1.
135Zadanie 4.
136Zadanie 5.
136Zadanie 9.
137Zadanie 12.
138Ćwiczenie B.
140Zadanie 1.
141Zadanie 3.
141Zadanie 4.
141Zadanie 5.
141Zadanie 6.
142Zadanie 7.
142Zadanie 8.
142