Wiedząc, że trójkąty ABC oraz ADE są podobne oraz punkt F dzieli odcinek BC na pół, określ skalę podobieństwa tych trójkątów.
Zauważ, że trójkąty ABC i CBD to trójkąty specjalne 30°, 60°, 90°, a więc:
Wiesz też, że:
Kąt CBA ma miarę
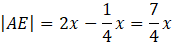
Możesz obliczyć długość odcinka AE:
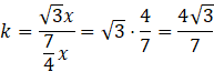
Oblicz skalę podobieństwa k trójkątów ABC oraz ADE:
Zauważ, że trójkąty ABC, CBE, BEF oraz DFC to trójkąty specjalne 30°, 60°, 90°. Długość odcinka BC oznacz przez „x” i wykorzystując cechy trójkąta specjalnego oblicz resztę boków. Zauważ, że BF to połowa odcinka BC, dzięki temu możesz znowu z cechy trójkąta specjalnego obliczyć długość boku BE. Wylicz długość boku AE, a następnie oblicz skalę podobieństwa.
Zadanie 1.
116Zadanie 2.
116Zadanie 3.
117Zadanie 4.
117Zadanie 5.
117Zadanie 9.
118Zadanie 10.
118Zadanie 11.
119Zadanie 12.
119Ćwiczenie B.
121Zadanie 1.
122Zadanie 2.
122Zadanie 3.
122Zadanie 4.
123Zadanie 5.
123Zadanie 6.
123Zadanie 7.
123Zadanie 9.
123Zadanie 11.
124Zadanie 12.
125Zadanie 20.
127Zadanie 21.
127Ćwiczenie A.
128Ćwiczenie B.
129Zadanie 1.
130Zadanie 2.
131Zadanie 3.
131Zadanie 4.
131Zadanie 5.
131Zadanie 6.
132Zadanie 10.
132Zadanie 13.
132Zadanie 14.
133Zadanie 16.
133Zadanie 18.
134Zadanie 1.
135Zadanie 4.
136Zadanie 5.
136Zadanie 9.
137Zadanie 12.
138Ćwiczenie B.
140Zadanie 1.
141Zadanie 3.
141Zadanie 4.
141Zadanie 5.
141Zadanie 6.
142Zadanie 7.
142Zadanie 8.
142