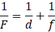
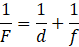
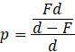
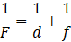
Wiedząc, że p jest nazywane powiększeniem, udowodnij, że zachodzą równości
Skoro przedmiot znajduje się w odległości większej niż ogniskowa to:
Dowód
Wyznacz niewiadomą d ze wzoru
Sprowadź do wspólnego mianownika:
Do wzoru
Dowód
Wyznaczmy niewiadomą f ze wzoru
Sprowadź do wspólnego mianownika:
Do wzoru
Obydwie równości są prawdziwe. Co należało udowodnić.
Skorzystaj z podanej w ramce równości
Zadanie 1.
116Zadanie 2.
116Zadanie 3.
117Zadanie 4.
117Zadanie 5.
117Zadanie 9.
118Zadanie 10.
118Zadanie 11.
119Zadanie 12.
119Ćwiczenie B.
121Zadanie 1.
122Zadanie 2.
122Zadanie 3.
122Zadanie 4.
123Zadanie 5.
123Zadanie 6.
123Zadanie 7.
123Zadanie 9.
123Zadanie 11.
124Zadanie 12.
125Zadanie 20.
127Zadanie 21.
127Ćwiczenie A.
128Ćwiczenie B.
129Zadanie 1.
130Zadanie 2.
131Zadanie 3.
131Zadanie 4.
131Zadanie 5.
131Zadanie 6.
132Zadanie 10.
132Zadanie 13.
132Zadanie 14.
133Zadanie 16.
133Zadanie 18.
134Zadanie 1.
135Zadanie 4.
136Zadanie 5.
136Zadanie 9.
137Zadanie 12.
138Ćwiczenie B.
140Zadanie 1.
141Zadanie 3.
141Zadanie 4.
141Zadanie 5.
141Zadanie 6.
142Zadanie 7.
142Zadanie 8.
142