Korzystając z rysunku oraz wiedząc, że litery to długości boków, udowodnij, że równość
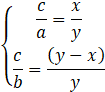
Rysunek przedstawia sytuację z treści polecenia:
Wykorzystaj twierdzenie Talesa do ustalenia odpowiednich proporcji.
Pomnóż na krzyż.
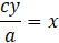
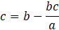
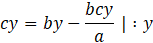
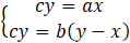
Wyznacz x z pierwszego równania:
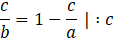
Podstaw x do drugiego równania:
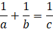
Przekształć równanie do momentu uzyskania równania, które masz udowodnić:
Udowodniłeś poprawność równania. Koniec dowodu.
Trudność tego zadania polega na znalezieniu odpowiedniej proporcji wynikającej z twierdzenia Talesa. Pomocne okaże się podpisanie pewnymi niewiadomymi odległości odcinka a od odcinka b oraz odcinka c od odcinka b. Następnie zapisaniu proporcji, uzależnij jedną niewiadomą od drugiej, a potem podstaw ją do równania. Na koniec doprowadź równanie do jak najprostszej postaci i zapisz ją w formie równania, którego poprawność masz udowodnić.
Zadanie 1.
116Zadanie 2.
116Zadanie 3.
117Zadanie 4.
117Zadanie 5.
117Zadanie 9.
118Zadanie 10.
118Zadanie 11.
119Zadanie 12.
119Ćwiczenie B.
121Zadanie 1.
122Zadanie 2.
122Zadanie 3.
122Zadanie 4.
123Zadanie 5.
123Zadanie 6.
123Zadanie 7.
123Zadanie 9.
123Zadanie 11.
124Zadanie 12.
125Zadanie 20.
127Zadanie 21.
127Ćwiczenie A.
128Ćwiczenie B.
129Zadanie 1.
130Zadanie 2.
131Zadanie 3.
131Zadanie 4.
131Zadanie 5.
131Zadanie 6.
132Zadanie 10.
132Zadanie 13.
132Zadanie 14.
133Zadanie 16.
133Zadanie 18.
134Zadanie 1.
135Zadanie 4.
136Zadanie 5.
136Zadanie 9.
137Zadanie 12.
138Ćwiczenie B.
140Zadanie 1.
141Zadanie 3.
141Zadanie 4.
141Zadanie 5.
141Zadanie 6.
142Zadanie 7.
142Zadanie 8.
142