Wiedząc, że powierzchnia sześciokąta foremnego wynosi 16 oraz mniejsza figura foremna, zawarta w nim, jest podobna do niego, określ pole mniejszej figury.
Rysunek przedstawia sytuacje z treści zadania:
a – długość boku większego sześciokąta foremnego
h – wysokość opuszczona z wierzchołka H
Wykorzystaj wzór na miarę kąta w n-kącie foremnym i oblicz miarę kąta w sześciokącie foremnym:
Wiesz, że trójkąt HED jest równoramienny, więc kąt pomiędzy h1, a bokiem HD ma miarę
To oznacza, że trójkąt HED jest trójkątem specjalnym 30°, 60°, 90°.
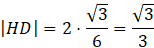
Oblicz długość boku HD:
Jeżeli kąt GHI ma miarę
Trójkąt HDI jest trójkątem równoramiennym, oznacza to, że jeśli miara kąta przy podstawie wynosi
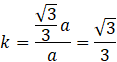
Oblicz skalę podobieństwa k sześciokątów:
Oblicz pole mniejszego sześciokąta:
Oblicz miarę kąta w sześciokącie foremnym korzystając ze wzoru na kąt w n-kącie foremnym
Zadanie 1.
116Zadanie 2.
116Zadanie 3.
117Zadanie 4.
117Zadanie 5.
117Zadanie 9.
118Zadanie 10.
118Zadanie 11.
119Zadanie 12.
119Ćwiczenie B.
121Zadanie 1.
122Zadanie 2.
122Zadanie 3.
122Zadanie 4.
123Zadanie 5.
123Zadanie 6.
123Zadanie 7.
123Zadanie 9.
123Zadanie 11.
124Zadanie 12.
125Zadanie 20.
127Zadanie 21.
127Ćwiczenie A.
128Ćwiczenie B.
129Zadanie 1.
130Zadanie 2.
131Zadanie 3.
131Zadanie 4.
131Zadanie 5.
131Zadanie 6.
132Zadanie 10.
132Zadanie 13.
132Zadanie 14.
133Zadanie 16.
133Zadanie 18.
134Zadanie 1.
135Zadanie 4.
136Zadanie 5.
136Zadanie 9.
137Zadanie 12.
138Ćwiczenie B.
140Zadanie 1.
141Zadanie 3.
141Zadanie 4.
141Zadanie 5.
141Zadanie 6.
142Zadanie 7.
142Zadanie 8.
142