Wiedząc, jakie są miejsca odbicia bili oraz punkt startowy A i końcowy B, określ, jak daleko od narożnika C odbiła się bila od krawędzi.
Rysunek przedstawia sytuację z treści polecenia:
Trójkąty ABC oraz CDE są podobne z cechy KK.
Trójkąty CDE oraz EFG są podobne z cechy KK.
Więc Trójkąty ABC oraz EFG są podobne.
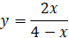
Dlatego następujące równości są prawdziwe:
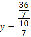
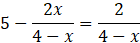
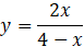
Stąd:
Pomnóż na krzyż.
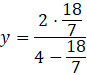
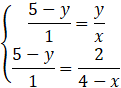
Podstaw y pod jedno z równań układu, pamiętając o tym, że
Pomnóż na krzyż.
Użyj delty do obliczenia x.
Oblicz możliwe wartości x:
Oblicz długość odcinka CG:
Odpowiedź: Bila odbiła się w odległości 3,6 oraz
Zauważ, że kąt uderzenia oraz kąt odbicia są zawsze takie same, dzięki czemu możesz zauważyć, że trójkąty ABC i CDE oraz CDE i EFG są podobne z cechy KK. Stwórz układ równań, w których przyrównasz stosunek
Zadanie 1.
116Zadanie 2.
116Zadanie 3.
117Zadanie 4.
117Zadanie 5.
117Zadanie 9.
118Zadanie 10.
118Zadanie 11.
119Zadanie 12.
119Ćwiczenie B.
121Zadanie 1.
122Zadanie 2.
122Zadanie 3.
122Zadanie 4.
123Zadanie 5.
123Zadanie 6.
123Zadanie 7.
123Zadanie 9.
123Zadanie 11.
124Zadanie 12.
125Zadanie 20.
127Zadanie 21.
127Ćwiczenie A.
128Ćwiczenie B.
129Zadanie 1.
130Zadanie 2.
131Zadanie 3.
131Zadanie 4.
131Zadanie 5.
131Zadanie 6.
132Zadanie 10.
132Zadanie 13.
132Zadanie 14.
133Zadanie 16.
133Zadanie 18.
134Zadanie 1.
135Zadanie 4.
136Zadanie 5.
136Zadanie 9.
137Zadanie 12.
138Ćwiczenie B.
140Zadanie 1.
141Zadanie 3.
141Zadanie 4.
141Zadanie 5.
141Zadanie 6.
142Zadanie 7.
142Zadanie 8.
142