Wiedząc, że długości podstaw trapezu ABCD to: |AB| = a i |CD| = b, a przecięcie jego przekątnych jest oznaczone punktem E, oblicz stosunki powierzchni trójkątów: ABE i DEC oraz AED i ABE.
Rysunek sytuacji przedstawionej w poleceniu:
Trójkąty ABE oraz DEC są do siebie podobne z cechy KK.
Opuszczasz wysokość h z wierzchołka E na bok AB.
Oblicz skale podobieństwa k trójkątów ABE oraz DEC:
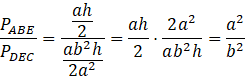
Oblicz pole ABE:
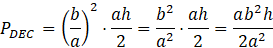
Oblicz pole DEC:
Oblicz stosunek pola ABE i DEC:
Wysokość h1 trójkąta CDE opuszczona z wierzchołka E ma miarę:
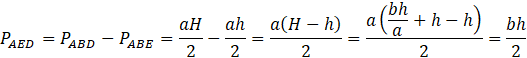
Oblicz wysokość H trapezu ABCD:
Oblicz pole ABD:
Oblicz pola AED:
Oblicz stosunek pól AED oraz ABE:
Zauważ, że trójkąty ABE oraz DEC są podobne z cechy KK. Za pomocą niewiadomych
Zadanie 1.
116Zadanie 2.
116Zadanie 3.
117Zadanie 4.
117Zadanie 5.
117Zadanie 9.
118Zadanie 10.
118Zadanie 11.
119Zadanie 12.
119Ćwiczenie B.
121Zadanie 1.
122Zadanie 2.
122Zadanie 3.
122Zadanie 4.
123Zadanie 5.
123Zadanie 6.
123Zadanie 7.
123Zadanie 9.
123Zadanie 11.
124Zadanie 12.
125Zadanie 20.
127Zadanie 21.
127Ćwiczenie A.
128Ćwiczenie B.
129Zadanie 1.
130Zadanie 2.
131Zadanie 3.
131Zadanie 4.
131Zadanie 5.
131Zadanie 6.
132Zadanie 10.
132Zadanie 13.
132Zadanie 14.
133Zadanie 16.
133Zadanie 18.
134Zadanie 1.
135Zadanie 4.
136Zadanie 5.
136Zadanie 9.
137Zadanie 12.
138Ćwiczenie B.
140Zadanie 1.
141Zadanie 3.
141Zadanie 4.
141Zadanie 5.
141Zadanie 6.
142Zadanie 7.
142Zadanie 8.
142