Wiedząc, że pole najmniejszego trójkąta równobocznego zbudowanego na boku trójkąta prostokątnego wynosi 15, a pole największego – 60, oblicz długość boku trzeciego z tych trójkątów zbudowanych na bokach trójkąta prostokątnego.
Wykorzystaj uogólnione twierdzenie Pitagorasa, stąd:
Wykorzystaj wzór na pole trójkąta równobocznego:
Bok nie może być ujemny, dlatego odrzuć odpowiedź
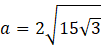
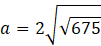
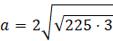
Uprość odpowiedź:
Odpowiedź: Długość boku tego trójkąta wynosi
Wykorzystaj uogólnione twierdzenie Pitagorasa i oblicz pole średniego trójkąta równobocznego. Następnie wykorzystaj wzór na pole trójkąta równobocznego
Zadanie 1.
116Zadanie 2.
116Zadanie 3.
117Zadanie 4.
117Zadanie 5.
117Zadanie 9.
118Zadanie 10.
118Zadanie 11.
119Zadanie 12.
119Ćwiczenie B.
121Zadanie 1.
122Zadanie 2.
122Zadanie 3.
122Zadanie 4.
123Zadanie 5.
123Zadanie 6.
123Zadanie 7.
123Zadanie 9.
123Zadanie 11.
124Zadanie 12.
125Zadanie 20.
127Zadanie 21.
127Ćwiczenie A.
128Ćwiczenie B.
129Zadanie 1.
130Zadanie 2.
131Zadanie 3.
131Zadanie 4.
131Zadanie 5.
131Zadanie 6.
132Zadanie 10.
132Zadanie 13.
132Zadanie 14.
133Zadanie 16.
133Zadanie 18.
134Zadanie 1.
135Zadanie 4.
136Zadanie 5.
136Zadanie 9.
137Zadanie 12.
138Ćwiczenie B.
140Zadanie 1.
141Zadanie 3.
141Zadanie 4.
141Zadanie 5.
141Zadanie 6.
142Zadanie 7.
142Zadanie 8.
142