Określ, jaka jest powierzchnia zaznaczonego wielokąta.
Oznacz wierzchołki jak na rysunku poniżej.
Trójkąt ADE oraz BCE są podobne z cechy KK, ponieważ mają dwa takie same kąty.
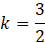
Oblicz skalę podobieństwa k trójkątów ADE oraz BCE:
Oblicz długość boku AD:
Oblicz długość boku CF:
Oblicz pole prostokąta ABFD:
Oblicz pola trójkątów AED, BCE oraz CDF:
Oblicz pole zacieniowanej figury:
Zauważ, że trójkąty ADE oraz BCE są podobne z cechy KK. Oblicz skalę podobieństwa tych trójkątów i wykorzystaj to do obliczenia boku AD. Potem oblicz CF. Zwróć uwagę na to, że aby wyliczyć pole zacieniowanej figury musisz obliczyć pole całego prostokąta, a następnie odjąć od niego pola niezaznaczonych trójkątów.
Zadanie 1.
116Zadanie 2.
116Zadanie 3.
117Zadanie 4.
117Zadanie 5.
117Zadanie 9.
118Zadanie 10.
118Zadanie 11.
119Zadanie 12.
119Ćwiczenie B.
121Zadanie 1.
122Zadanie 2.
122Zadanie 3.
122Zadanie 4.
123Zadanie 5.
123Zadanie 6.
123Zadanie 7.
123Zadanie 9.
123Zadanie 11.
124Zadanie 12.
125Zadanie 20.
127Zadanie 21.
127Ćwiczenie A.
128Ćwiczenie B.
129Zadanie 1.
130Zadanie 2.
131Zadanie 3.
131Zadanie 4.
131Zadanie 5.
131Zadanie 6.
132Zadanie 10.
132Zadanie 13.
132Zadanie 14.
133Zadanie 16.
133Zadanie 18.
134Zadanie 1.
135Zadanie 4.
136Zadanie 5.
136Zadanie 9.
137Zadanie 12.
138Ćwiczenie B.
140Zadanie 1.
141Zadanie 3.
141Zadanie 4.
141Zadanie 5.
141Zadanie 6.
142Zadanie 7.
142Zadanie 8.
142