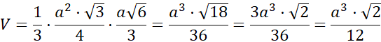
W tym zadaniu oblicz, jaką objętość ma czworościan foremny o krawędzi długości a.
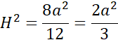
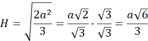
H2 + b2 = h2
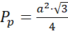
Czworościan foremny to ostrosłup, który ma w podstawie trójkąt równoboczny i wszystkie ściany takie same.
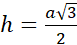
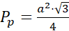
Wówczas pole podstawy wynosi
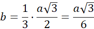
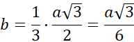
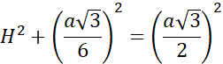
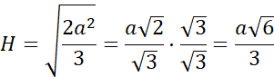
Skorzystaj z własności, że b to jedna trzecia wysokości trójkąta równobocznego.
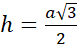
h to wysokość trójkąta równobocznego
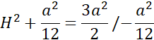
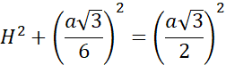
Oblicz wysokość ostrosłupa H. Skorzystaj z twierdzenia Pitagorasa a2 + b2 = c2, gdzie a i b to długości przyprostokątnych, a c to przeciwprostokątna trójkąta prostokątnego.
H2 + b2 = h2
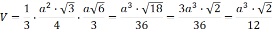
Objętość ostrosłupa wyznacza się ze wzoru
Zadanie 2
218Zadanie 3
218Zadanie 4
218Zadanie 5
218Zadanie 6
218Zadanie 7
219Zadanie 8
219Zadanie 9
219Zadanie 10
219Zadanie 13
219Zadanie 14
220Zadanie 15
220Zadanie 17
220Zadanie 18
220Zadanie 24
221Zadanie 25
221Zadanie 26
222Zadanie 27
222Zadanie 2
227Zadanie 4
228Zadanie 5
228Zadanie 6
228Zadanie 7
228Zadanie 8
228Zadanie 9
228Zadanie 10
229Zadanie 11
229Zadanie 13
229Zadanie 14
229Zadanie 15
229Zadanie 16
230Zadanie 2
233Zadanie 3
233Zadanie 4
234Zadanie 6
234Zadanie 14
235Zadanie 1
240Zadanie 2
240Zadanie 9
241Zadanie 11
241Zadanie 16
242Zadanie 1
245Zadanie 4
246Zadanie 5
246Zadanie 7
246Zadanie 9
246Zadanie 12
247