W tym zadaniu oblicz, jaki jest stosunek długości promieni podstaw do danych stożków wiedząc, że koło podzielono na dwa wycinki kołowe o kątach środkowych 60° i 300°. Z każdego z tych wycinków tworzymy powierzchnię boczną stożka.
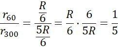
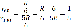
Stosunek długości promieni podstaw tych stożków wynosi 1 : 5.
Zauważ, że długości łuków odpowiadają długości długościom podstaw stożków. Przyjmij, że koło podzielone na dwa wycinki kołowe ma promień o długości r.
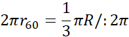
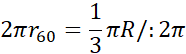
Długość łuku okręgu wyznacza się ze wzoru
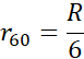
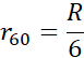
Wyznacz długość promienia podstawy stożka o kącie środkowym przekroju 60˚.
Wyznacz długość drugiego wycinka.
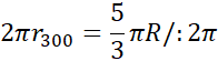
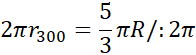
Wyznacz długość promienia podstawy stożka o kącie środkowym przekroju 300˚.
Porównaj długości promieni stożków.
Stosunek długości promieni podstaw tych stożków wynosi 1 : 5.
Zadanie 2
218Zadanie 3
218Zadanie 4
218Zadanie 5
218Zadanie 6
218Zadanie 7
219Zadanie 8
219Zadanie 9
219Zadanie 10
219Zadanie 13
219Zadanie 14
220Zadanie 15
220Zadanie 17
220Zadanie 18
220Zadanie 24
221Zadanie 25
221Zadanie 26
222Zadanie 27
222Zadanie 2
227Zadanie 4
228Zadanie 5
228Zadanie 6
228Zadanie 7
228Zadanie 8
228Zadanie 9
228Zadanie 10
229Zadanie 11
229Zadanie 13
229Zadanie 14
229Zadanie 15
229Zadanie 16
230Zadanie 2
233Zadanie 3
233Zadanie 4
234Zadanie 6
234Zadanie 14
235Zadanie 1
240Zadanie 2
240Zadanie 9
241Zadanie 11
241Zadanie 16
242Zadanie 1
245Zadanie 4
246Zadanie 5
246Zadanie 7
246Zadanie 9
246Zadanie 12
247