W tym zadaniu oblicz objętości brył przedstawionych na rysunkach wiedząc, że powstały one w wyniku wycięcia stożków z walców lub sklejenia walców ze stożkami.
Bryła 1:
Bryła 2:
Bryła 3:
Bryła 4:
Bryła 5:
Bryła 6:
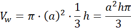
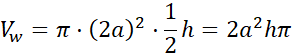
Objętość walca wyznacza się ze wzoru
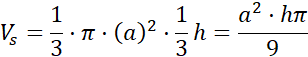
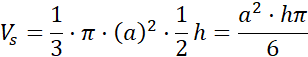
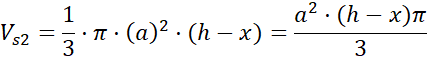
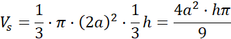
Objętość stożka wyznacza się ze wzoru
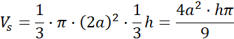
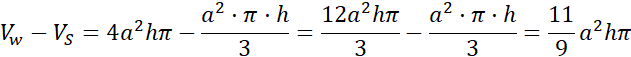
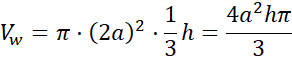
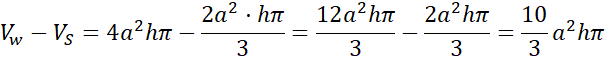
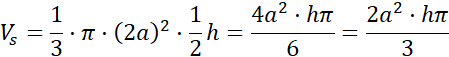
Bryła 1: różnica objętości walca o promieniu podstawy 2a i wysokości h oraz stożka o promieniu podstawy 2a i wysokości 0,5h
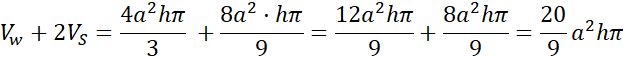
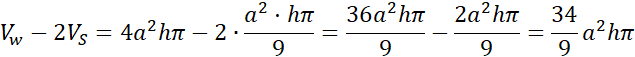
Bryła 2: różnica objętości walca o promieniu podstawy 2a i wysokości h oraz dwóch stożków o promieniu podstawy a i wysokości
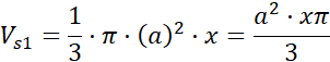
Bryła 3: różnica objętości walca o promieniu podstawy 2a i wysokości h oraz dwóch stożków: jednego o promieniu podstawy a i wysokości x, drugiego o promieniu podstawy a i wysokości h - x
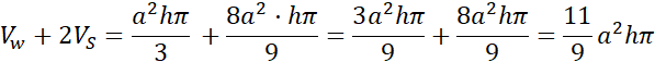
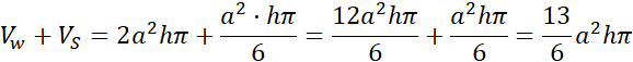
Bryła 4: suma objętości walca o promieniu podstawy 2a i wysokości 0,5h oraz stożka o promieniu podstawy a i wysokości 0,5h
Bryła 5: suma objętości walca o promieniu podstawy 2a i wysokości
Bryła 6: suma objętości walca o promieniu podstawy a i wysokości
Zadanie 2
218Zadanie 3
218Zadanie 4
218Zadanie 5
218Zadanie 6
218Zadanie 7
219Zadanie 8
219Zadanie 9
219Zadanie 10
219Zadanie 13
219Zadanie 14
220Zadanie 15
220Zadanie 17
220Zadanie 18
220Zadanie 24
221Zadanie 25
221Zadanie 26
222Zadanie 27
222Zadanie 2
227Zadanie 4
228Zadanie 5
228Zadanie 6
228Zadanie 7
228Zadanie 8
228Zadanie 9
228Zadanie 10
229Zadanie 11
229Zadanie 13
229Zadanie 14
229Zadanie 15
229Zadanie 16
230Zadanie 2
233Zadanie 3
233Zadanie 4
234Zadanie 6
234Zadanie 14
235Zadanie 1
240Zadanie 2
240Zadanie 9
241Zadanie 11
241Zadanie 16
242Zadanie 1
245Zadanie 4
246Zadanie 5
246Zadanie 7
246Zadanie 9
246Zadanie 12
247