W tym zadaniu wykaż, że objętości brył otrzymanych w wyniku obrotu danych trójkątów wokół prostej AB są równe wiedząc, że trójkąty na rysunku obok mają równe wysokości opuszczone na bok AB.
V1 = V2 co należało udowodnić
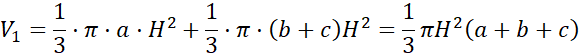
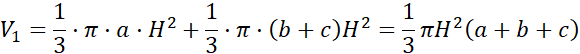
Po obrocie wokół prostej AB wzdłuż wysokości z lewej strony, powstanie bryła o objętości równej sumie objętości 2 stożków: jednego o promieniu podstawy H i wysokości a oraz drugiego o promieniu podstawy H i wysokości b + c.
Objętość stożka wyznacza się ze wzoru
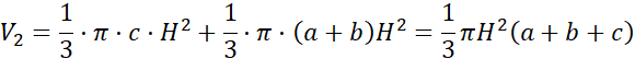
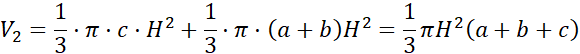
Po obrocie wokół prostej AB wzdłuż wysokości z prawej strony, powstanie bryła o objętości równej sumie objętości 2 stożków: jednego o promieniu podstawy H i wysokości c oraz drugiego o promieniu podstawy H i wysokości a + b.
V1 = V2 co należało udowodnić
Zadanie 2
218Zadanie 3
218Zadanie 4
218Zadanie 5
218Zadanie 6
218Zadanie 7
219Zadanie 8
219Zadanie 9
219Zadanie 10
219Zadanie 13
219Zadanie 14
220Zadanie 15
220Zadanie 17
220Zadanie 18
220Zadanie 24
221Zadanie 25
221Zadanie 26
222Zadanie 27
222Zadanie 2
227Zadanie 4
228Zadanie 5
228Zadanie 6
228Zadanie 7
228Zadanie 8
228Zadanie 9
228Zadanie 10
229Zadanie 11
229Zadanie 13
229Zadanie 14
229Zadanie 15
229Zadanie 16
230Zadanie 2
233Zadanie 3
233Zadanie 4
234Zadanie 6
234Zadanie 14
235Zadanie 1
240Zadanie 2
240Zadanie 9
241Zadanie 11
241Zadanie 16
242Zadanie 1
245Zadanie 4
246Zadanie 5
246Zadanie 7
246Zadanie 9
246Zadanie 12
247