W tym zadaniu określ, jaki kształt ma czasza każdego z kieliszków przedstawionych na rysunkach i ustal, który z kieliszków ma największą pojemność, a który - najmniejszą.
Bryła I:
Bryła II:
Bryła III:
Bryła IV:
Bryła V:
Bryła VI:
Największą pojemność ma bryła I, a najmniejszą bryła II. Pozostałe bryły mają takie same objętości.
Bryła I: jest to połowa kuli o promieniu a. Objętość kuli wyznacza się ze wzoru
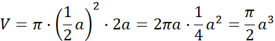
Bryła II: jest to stożek o wysokości 2a i promieniu podstawy 0,5a. Objętość stożka wyznacza się ze wzoru
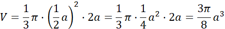
Bryła III: jest to walec o wysokości 2a i promieniu podstawy 0,5a. Objętość walca wyznacza się ze wzoru
Bryła IV: jest to stożek o wysokości
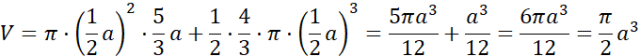
Bryła V: jest to połączenie walca i stożka. Walec ma promień podstawy
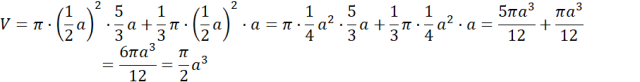
Bryła VI: jest to połączenie walca i połowy kuli. Walec ma promień podstawy
Zadanie 2
218Zadanie 3
218Zadanie 4
218Zadanie 5
218Zadanie 6
218Zadanie 7
219Zadanie 8
219Zadanie 9
219Zadanie 10
219Zadanie 13
219Zadanie 14
220Zadanie 15
220Zadanie 17
220Zadanie 18
220Zadanie 24
221Zadanie 25
221Zadanie 26
222Zadanie 27
222Zadanie 2
227Zadanie 4
228Zadanie 5
228Zadanie 6
228Zadanie 7
228Zadanie 8
228Zadanie 9
228Zadanie 10
229Zadanie 11
229Zadanie 13
229Zadanie 14
229Zadanie 15
229Zadanie 16
230Zadanie 2
233Zadanie 3
233Zadanie 4
234Zadanie 6
234Zadanie 14
235Zadanie 1
240Zadanie 2
240Zadanie 9
241Zadanie 11
241Zadanie 16
242Zadanie 1
245Zadanie 4
246Zadanie 5
246Zadanie 7
246Zadanie 9
246Zadanie 12
247