W tym zadaniu oblicz długości pewnych odcinków zaznaczonych w graniastosłupie prawidłowym oraz ostrosłupie prawidłowym.
Graniastosłup:
a = 9 ∙ 2 = 18
b2 = 182 + 122
b2 = 324 + 144
b2 = 468
Ostrosłup:
d2 + 62 = 152
d2 + 36 = 225 / - 36
d2 = 189
e2 = 12 + 36
e2 = 48
Graniastosłup:
Zauważ, że a to długości 2 podstaw.
a = 9 ∙ 2 = 18
Do wyznaczenia długości b skorzystaj z twierdzenia Pitagorasa a2 + b2 = c2, gdzie a i b to długości przyprostokątnych, a c to przeciwprostokątna trójkąta prostokątnego.
b2 = 182 + 122
b2 = 324 + 144
b2 = 468
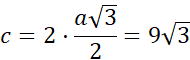
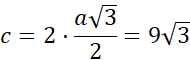
Zauważ, że odcinek c to dwie wysokości trójkąta równobocznego o boku 9.
Ostrosłup:
Zauważ, że f to jedna trzecia wysokości trójkąta równobocznego o boku 12.
Do wyznaczenia odcinków d i e skorzystaj z twierdzenia Pitagorasa.
d2 + 62 = 152
d2 + 36 = 225 / - 36
d2 = 189
e2 = 12 + 36
e2 = 48
Zadanie 2
218Zadanie 3
218Zadanie 4
218Zadanie 5
218Zadanie 6
218Zadanie 7
219Zadanie 8
219Zadanie 9
219Zadanie 10
219Zadanie 13
219Zadanie 14
220Zadanie 15
220Zadanie 17
220Zadanie 18
220Zadanie 24
221Zadanie 25
221Zadanie 26
222Zadanie 27
222Zadanie 2
227Zadanie 4
228Zadanie 5
228Zadanie 6
228Zadanie 7
228Zadanie 8
228Zadanie 9
228Zadanie 10
229Zadanie 11
229Zadanie 13
229Zadanie 14
229Zadanie 15
229Zadanie 16
230Zadanie 2
233Zadanie 3
233Zadanie 4
234Zadanie 6
234Zadanie 14
235Zadanie 1
240Zadanie 2
240Zadanie 9
241Zadanie 11
241Zadanie 16
242Zadanie 1
245Zadanie 4
246Zadanie 5
246Zadanie 7
246Zadanie 9
246Zadanie 12
247