W tym zadaniu, wiedząc, że serce kształcie walca o promieniu podstawy 5 cm podzielono na 12 jednakowych części, takich jak na pierwszej fotografii a od jednej z takich części odcięto trochę sera tak, że został taki kawałek, jak pokazano na drugiej fotografii oblicz, jaka to część całego sera.
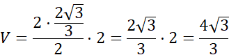
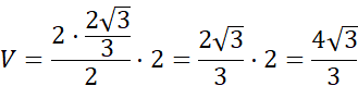
Objętość odciętego kawałka sera to dwunasta część objętości całego sera. Objętość walca wyznacza się ze wzoru
Wyznacz długość kawałka odciętego sera a. Skorzystaj z własności trójkąta o kątach 30˚, 60˚, 90˚.
Oblicz objętość odciętej części walca. Jest to prostopadłościan trójkątny. Objętość graniastosłupa wyznacza się ze wzoru V = Pp∙ H, gdzie Pp to pole podstawy, a H to wysokość bryły.
Oblicz objętość kawałka walca, który został po odcięciu.
Oblicz, jaką część całego sera stanowi ten kawałek.
Zadanie 2
218Zadanie 3
218Zadanie 4
218Zadanie 5
218Zadanie 6
218Zadanie 7
219Zadanie 8
219Zadanie 9
219Zadanie 10
219Zadanie 13
219Zadanie 14
220Zadanie 15
220Zadanie 17
220Zadanie 18
220Zadanie 24
221Zadanie 25
221Zadanie 26
222Zadanie 27
222Zadanie 2
227Zadanie 4
228Zadanie 5
228Zadanie 6
228Zadanie 7
228Zadanie 8
228Zadanie 9
228Zadanie 10
229Zadanie 11
229Zadanie 13
229Zadanie 14
229Zadanie 15
229Zadanie 16
230Zadanie 2
233Zadanie 3
233Zadanie 4
234Zadanie 6
234Zadanie 14
235Zadanie 1
240Zadanie 2
240Zadanie 9
241Zadanie 11
241Zadanie 16
242Zadanie 1
245Zadanie 4
246Zadanie 5
246Zadanie 7
246Zadanie 9
246Zadanie 12
247