W tym zadaniu oblicz długość odcinka i miarę kąta oznaczonych literami na graniastosłupie prawidłowym przedstawionym na rysunku.
H2 + (1,5)2 = (5,6)2
H2 + 2,25 = 31,36 / - 2,25
H2 = 29,11
H = 5,4
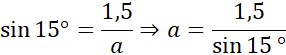
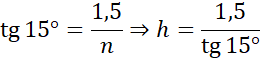
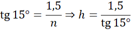
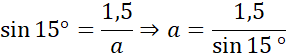
Oznacz wysokość ściany bocznej jako h. Zauważ, że powstał trójkąt prostokątny o kącie 15˚, przyprostokątnych h i 1,5 oraz przeciwprostokątnej a. Sinusem kąta α nazywamy stosunek długości przyprostokątnej leżącej naprzeciw kąta α do długości przeciwprostokątnej.
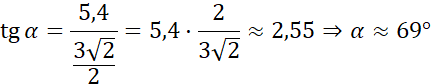
Odczytaj wartość kąta z tabeli.
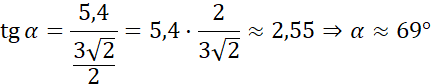
Tangensem kąta α nazywamy stosunek długości przyprostokątnej leżącej naprzeciw kąta α do długości drugiej przyprostokątnej.
Odczytaj wartość kąta z tabeli.
Wyznacz wysokość ostrosłupa H. Skorzystaj z twierdzenia Pitagorasa a2 + b2 = c2, gdzie a i b to długości przyprostokątnych, a c to przeciwprostokątna trójkąta prostokątnego.
H2 + (1,5)2 = (5,6)2
H2 + 2,25 = 31,36 / - 2,25
H2 = 29,11
H = 5,4
Przekątna kwadratu o boku a to
Skorzystaj z tangensa kąta α.
Zadanie 2
218Zadanie 3
218Zadanie 4
218Zadanie 5
218Zadanie 6
218Zadanie 7
219Zadanie 8
219Zadanie 9
219Zadanie 10
219Zadanie 13
219Zadanie 14
220Zadanie 15
220Zadanie 17
220Zadanie 18
220Zadanie 24
221Zadanie 25
221Zadanie 26
222Zadanie 27
222Zadanie 2
227Zadanie 4
228Zadanie 5
228Zadanie 6
228Zadanie 7
228Zadanie 8
228Zadanie 9
228Zadanie 10
229Zadanie 11
229Zadanie 13
229Zadanie 14
229Zadanie 15
229Zadanie 16
230Zadanie 2
233Zadanie 3
233Zadanie 4
234Zadanie 6
234Zadanie 14
235Zadanie 1
240Zadanie 2
240Zadanie 9
241Zadanie 11
241Zadanie 16
242Zadanie 1
245Zadanie 4
246Zadanie 5
246Zadanie 7
246Zadanie 9
246Zadanie 12
247