W tym zadaniu określ, jaką wysokość powinien mieć graniastosłup prawidłowy sześciokątny, aby trójkąt zbudowany z przekątnej ściany bocznej, dłuższej przekątnej podstawy i krótszej przekątnej graniastosłupa był równoramienny wiedząc, że krawędź jego podstawy ma długość a.
a2 + H2 = c2
e2 = H2 + (2a)2
e2 = H2 + 4a2
e2 = d2 + a2
H2 + 4a2 = d2 + a2 / - a2
d2 = H2 + 3a2
1) c = 2a
a2 + H2 = 4a2 / - a2
H2 = 3a2
2) d = 2a
H2 + 3a2 = 4a2 / - 3a2
H2 = a2
H = a
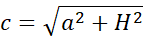
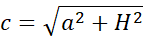
Wyznacz długość przekątnej ściany bocznej c. Skorzystaj z twierdzenia Pitagorasa a2 + b2 = c2, gdzie a i b to długości przyprostokątnych, a c to przeciwprostokątna trójkąta prostokątnego.
a2 + H2 = c2
Wyznacz długość dłuższej przekątnej graniastosłupa e. Również skorzystaj z twierdzenia Pitagorasa.
e2 = H2 + (2a)2
e2 = H2 + 4a2
Wyznacz długość krótszej przekątnej graniastosłupa d. Również skorzystaj z twierdzenia Pitagorasa.
e2 = d2 + a2
H2 + 4a2 = d2 + a2 / - a2
d2 = H2 + 3a2
Rozważ 2 przypadki:
3) c = 2a
a2 + H2 = 4a2 / - a2
H2 = 3a2
4) d = 2a
H2 + 3a2 = 4a2 / - 3a2
H2 = a2
H = a
Zadanie 2
218Zadanie 3
218Zadanie 4
218Zadanie 5
218Zadanie 6
218Zadanie 7
219Zadanie 8
219Zadanie 9
219Zadanie 10
219Zadanie 13
219Zadanie 14
220Zadanie 15
220Zadanie 17
220Zadanie 18
220Zadanie 24
221Zadanie 25
221Zadanie 26
222Zadanie 27
222Zadanie 2
227Zadanie 4
228Zadanie 5
228Zadanie 6
228Zadanie 7
228Zadanie 8
228Zadanie 9
228Zadanie 10
229Zadanie 11
229Zadanie 13
229Zadanie 14
229Zadanie 15
229Zadanie 16
230Zadanie 2
233Zadanie 3
233Zadanie 4
234Zadanie 6
234Zadanie 14
235Zadanie 1
240Zadanie 2
240Zadanie 9
241Zadanie 11
241Zadanie 16
242Zadanie 1
245Zadanie 4
246Zadanie 5
246Zadanie 7
246Zadanie 9
246Zadanie 12
247