W tym zadaniu oblicz objętość ostrosłupa, którego siatkę przedstawiono na rysunku.
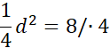
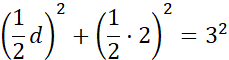
d2 = 32
H2 + 32 = 52
H2 + 9 = 25 / - 9
H2 = 16
H = 4
Oblicz drugą przekątną rombu – podstawy ostrosłupa. Skorzystaj z twierdzenia Pitagorasa a2 + b2 = c2, gdzie a i b to długości przyprostokątnych, a c to przeciwprostokątna trójkąta prostokątnego.
d2 = 32
Wyznacz pole podstawy.
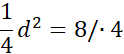
Wyznacz wysokość ostrosłupa korzystając z twierdzenia Pitagorasa.
H2 + 32 = 52
H2 + 9 = 25 / - 9
H2 = 16
H = 4
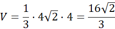
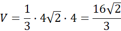
Objętość ostrosłupa wyznacza się ze wzoru
Zadanie 2
218Zadanie 3
218Zadanie 4
218Zadanie 5
218Zadanie 6
218Zadanie 7
219Zadanie 8
219Zadanie 9
219Zadanie 10
219Zadanie 13
219Zadanie 14
220Zadanie 15
220Zadanie 17
220Zadanie 18
220Zadanie 24
221Zadanie 25
221Zadanie 26
222Zadanie 27
222Zadanie 2
227Zadanie 4
228Zadanie 5
228Zadanie 6
228Zadanie 7
228Zadanie 8
228Zadanie 9
228Zadanie 10
229Zadanie 11
229Zadanie 13
229Zadanie 14
229Zadanie 15
229Zadanie 16
230Zadanie 2
233Zadanie 3
233Zadanie 4
234Zadanie 6
234Zadanie 14
235Zadanie 1
240Zadanie 2
240Zadanie 9
241Zadanie 11
241Zadanie 16
242Zadanie 1
245Zadanie 4
246Zadanie 5
246Zadanie 7
246Zadanie 9
246Zadanie 12
247