W tym zadaniu oblicz pole powierzchni całkowitej i objętość graniastosłupa, którego wysokość ma długość a, natomiast krótsza przekątna 4a.
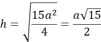
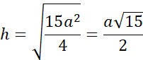
(2h)2 + a2 = (4a)2
4h2 + a2 = 16a2 / - a2
4h2 = 15a2 / : 4
Wyznacz długość h. Skorzystaj z twierdzenia Pitagorasa a2 + b2 = c2, gdzie a i b to długości przyprostokątnych, a c to przeciwprostokątna trójkąta prostokątnego.
(2h)2 + a2 = (4a)2
4h2 + a2 = 16a2 / - a2
4h2 = 15a2 / : 4
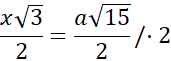
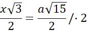
Zauważ, że h to wysokość trójkąta równobocznego o boku x.
Podstawa graniastosłupa składa się z 6 trójkątów równobocznych o boku b, a ściany boczne to prostokąty o wymiarach x oraz a.
Pole graniastosłupa oblicza się ze wzoru P = 2Pp + Pb, gdzie Pp to pole jednej podstawy, a Pb to pole wszystkich ścian bocznych.
Objętość graniastosłupa wyznacza się ze wzoru V = Pp∙ H, gdzie Pp to pole podstawy, a H to wysokość bryły.
Zadanie 2
218Zadanie 3
218Zadanie 4
218Zadanie 5
218Zadanie 6
218Zadanie 7
219Zadanie 8
219Zadanie 9
219Zadanie 10
219Zadanie 13
219Zadanie 14
220Zadanie 15
220Zadanie 17
220Zadanie 18
220Zadanie 24
221Zadanie 25
221Zadanie 26
222Zadanie 27
222Zadanie 2
227Zadanie 4
228Zadanie 5
228Zadanie 6
228Zadanie 7
228Zadanie 8
228Zadanie 9
228Zadanie 10
229Zadanie 11
229Zadanie 13
229Zadanie 14
229Zadanie 15
229Zadanie 16
230Zadanie 2
233Zadanie 3
233Zadanie 4
234Zadanie 6
234Zadanie 14
235Zadanie 1
240Zadanie 2
240Zadanie 9
241Zadanie 11
241Zadanie 16
242Zadanie 1
245Zadanie 4
246Zadanie 5
246Zadanie 7
246Zadanie 9
246Zadanie 12
247