W tym zadaniu oblicz, jakie pole powierzchni całkowitej ma dany graniastosłup prosty wiedząc, że jego podstawą jest kwadrat o przekątnej długości 12, a przekątna tego graniastosłupa ma długość 13:
A.
B.
C.
D.
D.
H2 + 144 = 169 / - 144
H2 = 25
H = 5
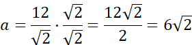
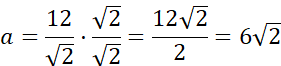
Pp = a2 =
Z własności kwadratu wynika, że
Wyznacz wysokość H. Skorzystaj z twierdzenia Pitagorasa a2 + b2 = c2, gdzie a i b to długości przyprostokątnych, a c to przeciwprostokątna trójkąta prostokątnego.
H2 + 144 = 169 / - 144
H2 = 25
H = 5
Pole graniastosłupa oblicza się ze wzoru P = 2Pp + Pb, gdzie Pp to pole jednej podstawy, a Pb to pole wszystkich ścian bocznych.
Pp = a2 =
Zadanie 2
218Zadanie 3
218Zadanie 4
218Zadanie 5
218Zadanie 6
218Zadanie 7
219Zadanie 8
219Zadanie 9
219Zadanie 10
219Zadanie 13
219Zadanie 14
220Zadanie 15
220Zadanie 17
220Zadanie 18
220Zadanie 24
221Zadanie 25
221Zadanie 26
222Zadanie 27
222Zadanie 2
227Zadanie 4
228Zadanie 5
228Zadanie 6
228Zadanie 7
228Zadanie 8
228Zadanie 9
228Zadanie 10
229Zadanie 11
229Zadanie 13
229Zadanie 14
229Zadanie 15
229Zadanie 16
230Zadanie 2
233Zadanie 3
233Zadanie 4
234Zadanie 6
234Zadanie 14
235Zadanie 1
240Zadanie 2
240Zadanie 9
241Zadanie 11
241Zadanie 16
242Zadanie 1
245Zadanie 4
246Zadanie 5
246Zadanie 7
246Zadanie 9
246Zadanie 12
247