W tym zadaniu określ, jakie jest pole przekroju osiowego danego walca wiedząc, że jego powierzchnia boczna po rozwinięciu jest kwadratem o boku a.
h = a
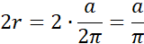
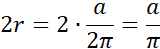
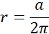
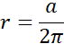
Zauważ, że jeśli po rozwinięciu walca jego powierzchnia boczna jest kwadratem, to długość okręgu w podstawie jest równa wysokości walca.
h = a
Wzór na długość okręgu to
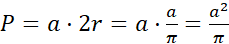
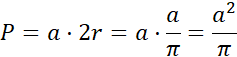
Przekrój osiowy walca to prostokąt o bokach a oraz 2r.
Zatem pole przekroju osiowego to
Zadanie 2
218Zadanie 3
218Zadanie 4
218Zadanie 5
218Zadanie 6
218Zadanie 7
219Zadanie 8
219Zadanie 9
219Zadanie 10
219Zadanie 13
219Zadanie 14
220Zadanie 15
220Zadanie 17
220Zadanie 18
220Zadanie 24
221Zadanie 25
221Zadanie 26
222Zadanie 27
222Zadanie 2
227Zadanie 4
228Zadanie 5
228Zadanie 6
228Zadanie 7
228Zadanie 8
228Zadanie 9
228Zadanie 10
229Zadanie 11
229Zadanie 13
229Zadanie 14
229Zadanie 15
229Zadanie 16
230Zadanie 2
233Zadanie 3
233Zadanie 4
234Zadanie 6
234Zadanie 14
235Zadanie 1
240Zadanie 2
240Zadanie 9
241Zadanie 11
241Zadanie 16
242Zadanie 1
245Zadanie 4
246Zadanie 5
246Zadanie 7
246Zadanie 9
246Zadanie 12
247