W tym zadaniu oblicz długość krawędzi podstawy ostrosłupa prawidłowego sześciokątnego wiedząc, że jego wysokość jest równa 5, a wysokość jego ściany bocznej wynosi 10.
h2 + 52 = 102
h2 + 25 = 100/ - 25
h2 = 75
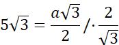
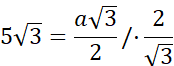
a = 10
Przyjmij oznaczenia jak na rysunku. Oblicz długość h. Skorzystaj z twierdzenia Pitagorasa a2 + b2 = c2, gdzie a i b to długości przyprostokątnych, a c to przeciwprostokątna trójkąta prostokątnego.
h2 + 52 = 102
h2 + 25 = 100/ - 25
h2 = 75
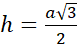
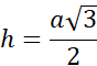
Zauważ, że h to wysokość trójkąta równobocznego o boku a.
Zatem
a = 10
Zadanie 2
218Zadanie 3
218Zadanie 4
218Zadanie 5
218Zadanie 6
218Zadanie 7
219Zadanie 8
219Zadanie 9
219Zadanie 10
219Zadanie 13
219Zadanie 14
220Zadanie 15
220Zadanie 17
220Zadanie 18
220Zadanie 24
221Zadanie 25
221Zadanie 26
222Zadanie 27
222Zadanie 2
227Zadanie 4
228Zadanie 5
228Zadanie 6
228Zadanie 7
228Zadanie 8
228Zadanie 9
228Zadanie 10
229Zadanie 11
229Zadanie 13
229Zadanie 14
229Zadanie 15
229Zadanie 16
230Zadanie 2
233Zadanie 3
233Zadanie 4
234Zadanie 6
234Zadanie 14
235Zadanie 1
240Zadanie 2
240Zadanie 9
241Zadanie 11
241Zadanie 16
242Zadanie 1
245Zadanie 4
246Zadanie 5
246Zadanie 7
246Zadanie 9
246Zadanie 12
247