W tym zadaniu oblicz, w którym z danych stożków kąt nachylenia tworzącej do podstawy jest większy i jaką ma miarę wiedząc, że koło podzielono na dwa wycinki kołowe o kątach środkowych 60° i 300°. Z każdego z tych wycinków tworzymy powierzchnię boczną stożka.
Kąt nachylenia tworzącej do podstawy jest większy w stożku o kącie środkowym przekroju 60˚ i ma miarę 80˚.
Skorzystaj z danych obliczonych w podpunkcie a):
Wyznacz miarę kąta nachylenia β60 stożka o kącie środkowym przekroju 60˚. Skorzystaj z twierdzenia cosinus. Cosinusem kąta α nazywamy stosunek długości przyprostokątnej leżącej przy kącie α do długości przeciwprostokątnej.
Odczytaj miarę kąta z tabeli na stronie 249.
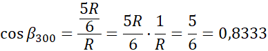
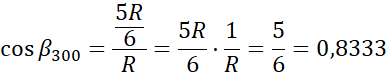
Wyznacz miarę kąta nachylenia β300 stożka o kącie środkowym przekroju 300˚. Skorzystaj z twierdzenia cosinus. Cosinusem kąta α nazywamy stosunek długości przyprostokątnej leżącej przy kącie α do długości przeciwprostokątnej.
Odczytaj miarę kąta z tabeli na stronie 249.
Kąt nachylenia tworzącej do podstawy jest większy w stożku o kącie środkowym przekroju 60˚ i ma miarę 80˚.
Zadanie 2
218Zadanie 3
218Zadanie 4
218Zadanie 5
218Zadanie 6
218Zadanie 7
219Zadanie 8
219Zadanie 9
219Zadanie 10
219Zadanie 13
219Zadanie 14
220Zadanie 15
220Zadanie 17
220Zadanie 18
220Zadanie 24
221Zadanie 25
221Zadanie 26
222Zadanie 27
222Zadanie 2
227Zadanie 4
228Zadanie 5
228Zadanie 6
228Zadanie 7
228Zadanie 8
228Zadanie 9
228Zadanie 10
229Zadanie 11
229Zadanie 13
229Zadanie 14
229Zadanie 15
229Zadanie 16
230Zadanie 2
233Zadanie 3
233Zadanie 4
234Zadanie 6
234Zadanie 14
235Zadanie 1
240Zadanie 2
240Zadanie 9
241Zadanie 11
241Zadanie 16
242Zadanie 1
245Zadanie 4
246Zadanie 5
246Zadanie 7
246Zadanie 9
246Zadanie 12
247