W tym zadaniu oblicz, jakie długości mają zaznaczone na ostrosłupie prawidłowym ośmiokątnym odcinki oraz jaką miarę ma zaznaczony kąt.
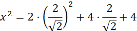
x2 = w2 + (w + 2)2
x2 = w2 + w2 + 4w + 4
x2 = 2w2 + 4w + 4
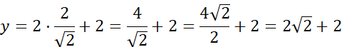
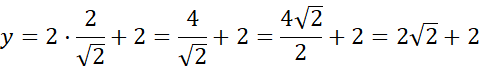
y = 2w + 2
z2 = 22 + y2
Oznacz czerwony odcinek jako a, niebieski jako b, zielony jako c.
b2 = a2 + 42
c2 + 12 = b2
Zauważ, że
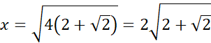
Do wyznaczenia przekątnych x, z skorzystaj z twierdzenia Pitagorasa a2 + b2 = c2, gdzie a i b to długości przyprostokątnych, a c to przeciwprostokątna trójkąta prostokątnego.
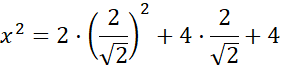
x2 = w2 + (w + 2)2
Skorzystaj z wzoru skróconego mnożenia (a + b)2 = a2 + 2ab + b2.
x2 = w2 + w2 + 4w + 4
x2 = 2w2 + 4w + 4
Wyznacz długość y.
y = 2w + 2
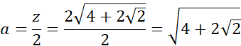
Wyznacz długość z.
z2 = 22 + y2
Oznacz czerwony odcinek jako a, niebieski jako b, zielony jako c.
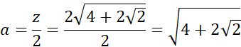
Zauważ, że a to połowa odcinka z.
Do wyznaczenia odcinków b i c skorzystaj z twierdzenia Pitagorasa.
b2 = a2 + 42
c2 + 12 = b2
Tangensem kąta α nazywamy stosunek długości przyprostokątnej leżącej naprzeciw kąta α do długości drugiej przyprostokątnej. Wyznacz za pomocą niego kąt czerwony α.
Odczytaj wartość kąta z tabeli.
Zadanie 2
218Zadanie 3
218Zadanie 4
218Zadanie 5
218Zadanie 6
218Zadanie 7
219Zadanie 8
219Zadanie 9
219Zadanie 10
219Zadanie 13
219Zadanie 14
220Zadanie 15
220Zadanie 17
220Zadanie 18
220Zadanie 24
221Zadanie 25
221Zadanie 26
222Zadanie 27
222Zadanie 2
227Zadanie 4
228Zadanie 5
228Zadanie 6
228Zadanie 7
228Zadanie 8
228Zadanie 9
228Zadanie 10
229Zadanie 11
229Zadanie 13
229Zadanie 14
229Zadanie 15
229Zadanie 16
230Zadanie 2
233Zadanie 3
233Zadanie 4
234Zadanie 6
234Zadanie 14
235Zadanie 1
240Zadanie 2
240Zadanie 9
241Zadanie 11
241Zadanie 16
242Zadanie 1
245Zadanie 4
246Zadanie 5
246Zadanie 7
246Zadanie 9
246Zadanie 12
247