Wiedząc, że istnieje podobieństwo pomiędzy arkuszem złożonym na pół, a prostokątnym arkuszem przed tą czynnością, określ stosunek długości boków całego arkusza.
x – długość krótszego boku arkusza.
y – długość dłuższego boku arkusza.
Wymiary kartki po złożeniu to x oraz
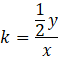
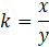
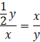
Oblicz skale podobieństwa pomiędzy poszczególnymi bokami:
Przyrównaj obydwie skale i rozwiąż równanie:
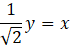
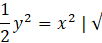
Pomnóż na krzyż:
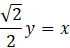
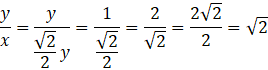
Oblicz stosunek y : x:
Jeśli arkusz po złożeniu jest podobny do tego przed złożeniem, to zauważ, że skala podobieństwa poszczególnych boków musi być taka sama. Wykorzystaj to, aby uzależnić jeden z boków od drugiego, a następnie wylicz stosunek długości boków.
Zadanie 1.
116Zadanie 2.
116Zadanie 3.
117Zadanie 4.
117Zadanie 5.
117Zadanie 9.
118Zadanie 10.
118Zadanie 11.
119Zadanie 12.
119Ćwiczenie B.
121Zadanie 1.
122Zadanie 2.
122Zadanie 3.
122Zadanie 4.
123Zadanie 5.
123Zadanie 6.
123Zadanie 7.
123Zadanie 9.
123Zadanie 11.
124Zadanie 12.
125Zadanie 20.
127Zadanie 21.
127Ćwiczenie A.
128Ćwiczenie B.
129Zadanie 1.
130Zadanie 2.
131Zadanie 3.
131Zadanie 4.
131Zadanie 5.
131Zadanie 6.
132Zadanie 10.
132Zadanie 13.
132Zadanie 14.
133Zadanie 16.
133Zadanie 18.
134Zadanie 1.
135Zadanie 4.
136Zadanie 5.
136Zadanie 9.
137Zadanie 12.
138Ćwiczenie B.
140Zadanie 1.
141Zadanie 3.
141Zadanie 4.
141Zadanie 5.
141Zadanie 6.
142Zadanie 7.
142Zadanie 8.
142