Udowodnij, że uogólnione twierdzenie Pitagorasa jest prawdziwe.
a, b –długości przyprostokątnych
Skala podobieństwa k1 figury Fa do figury Fc:
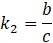
Skala podobieństwa k2 figury Fb do figury Fc:
Pola figur zbudowanych na bokach a oraz b możesz zapisać w następujący sposób:
Według tego twierdzenia:
Policz lewą stronę równania:
Lewa strona równania równa się prawej. Co kończy dowód.
Oblicz skalę podobieństwa boków a i b do boku c, a następnie uzależnij pola figur powstałych na bokach a oraz b od pola figury powstałej na boku c. Potem podstaw do lewej strony równania rozwiązania i doprowadź równanie do jak najprostszej postaci. Zauważ, że z twierdzenia Pitagorasa ta równość jest poprawna: a2 + b2 = c2.
Zadanie 1.
116Zadanie 2.
116Zadanie 3.
117Zadanie 4.
117Zadanie 5.
117Zadanie 9.
118Zadanie 10.
118Zadanie 11.
119Zadanie 12.
119Ćwiczenie B.
121Zadanie 1.
122Zadanie 2.
122Zadanie 3.
122Zadanie 4.
123Zadanie 5.
123Zadanie 6.
123Zadanie 7.
123Zadanie 9.
123Zadanie 11.
124Zadanie 12.
125Zadanie 20.
127Zadanie 21.
127Ćwiczenie A.
128Ćwiczenie B.
129Zadanie 1.
130Zadanie 2.
131Zadanie 3.
131Zadanie 4.
131Zadanie 5.
131Zadanie 6.
132Zadanie 10.
132Zadanie 13.
132Zadanie 14.
133Zadanie 16.
133Zadanie 18.
134Zadanie 1.
135Zadanie 4.
136Zadanie 5.
136Zadanie 9.
137Zadanie 12.
138Ćwiczenie B.
140Zadanie 1.
141Zadanie 3.
141Zadanie 4.
141Zadanie 5.
141Zadanie 6.
142Zadanie 7.
142Zadanie 8.
142