Określ, pomiędzy którymi trójkątami istnieje podobieństwo z trójkątem ABC.
Trójkąt
Ma taki sam kąt jak ABC.
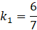
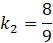
Oblicz stosunki odpowiadających sobie boków:
Ten trójkąt nie jest podobny do ABC.
Trójkąt
Nie ma takiego samego kąta jak ABC.
Ten trójkąt nie jest podobny do ABC.
Trójkąt
Ma taki sam kąt jak ABC.
Oblicz stosunki odpowiadających sobie boków:
Ten trójkąt jest podobny do ABC.
Oblicz stosunek odpowiadających sobie boków, a następnie wykorzystaj cechę podobieństwa KBK, aby określić podobieństwo poniższych trójkątów.
Zadanie 1.
116Zadanie 2.
116Zadanie 3.
117Zadanie 4.
117Zadanie 5.
117Zadanie 9.
118Zadanie 10.
118Zadanie 11.
119Zadanie 12.
119Ćwiczenie B.
121Zadanie 1.
122Zadanie 2.
122Zadanie 3.
122Zadanie 4.
123Zadanie 5.
123Zadanie 6.
123Zadanie 7.
123Zadanie 9.
123Zadanie 11.
124Zadanie 12.
125Zadanie 20.
127Zadanie 21.
127Ćwiczenie A.
128Ćwiczenie B.
129Zadanie 1.
130Zadanie 2.
131Zadanie 3.
131Zadanie 4.
131Zadanie 5.
131Zadanie 6.
132Zadanie 10.
132Zadanie 13.
132Zadanie 14.
133Zadanie 16.
133Zadanie 18.
134Zadanie 1.
135Zadanie 4.
136Zadanie 5.
136Zadanie 9.
137Zadanie 12.
138Ćwiczenie B.
140Zadanie 1.
141Zadanie 3.
141Zadanie 4.
141Zadanie 5.
141Zadanie 6.
142Zadanie 7.
142Zadanie 8.
142