Wiedząc, że trzy figury, powstałe w wyniku podzielenia trapezu dwoma prostymi równoległymi do podstaw, są do siebie podobne oraz dane są pola S1 i S3, oblicz pole S2.
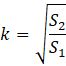
Oblicz skale podobieństwa k figury o polu S2 do figury o polu S1:
Oblicz skale podobieństwa k figury o polu S3 do figury o polu S2:
Stwórz równanie:
Przemnóż na krzyż.
Zauważ, że skale policzone w ten sposób są sobie równe, dzięki czemu możesz utworzyć proporcję i wyznaczyć pole S2.
Zadanie 1.
116Zadanie 2.
116Zadanie 3.
117Zadanie 4.
117Zadanie 5.
117Zadanie 9.
118Zadanie 10.
118Zadanie 11.
119Zadanie 12.
119Ćwiczenie B.
121Zadanie 1.
122Zadanie 2.
122Zadanie 3.
122Zadanie 4.
123Zadanie 5.
123Zadanie 6.
123Zadanie 7.
123Zadanie 9.
123Zadanie 11.
124Zadanie 12.
125Zadanie 20.
127Zadanie 21.
127Ćwiczenie A.
128Ćwiczenie B.
129Zadanie 1.
130Zadanie 2.
131Zadanie 3.
131Zadanie 4.
131Zadanie 5.
131Zadanie 6.
132Zadanie 10.
132Zadanie 13.
132Zadanie 14.
133Zadanie 16.
133Zadanie 18.
134Zadanie 1.
135Zadanie 4.
136Zadanie 5.
136Zadanie 9.
137Zadanie 12.
138Ćwiczenie B.
140Zadanie 1.
141Zadanie 3.
141Zadanie 4.
141Zadanie 5.
141Zadanie 6.
142Zadanie 7.
142Zadanie 8.
142