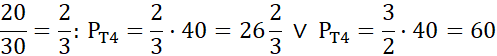
Trzy trójkąty, na jakie dzieli czworokąt wypukły jego przekątne, mają pola 20, 30 i 40. Należy obliczyć pole danego czworokąta, rozważając wszystkie przypadki.
Analogicznie:
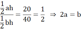
Stosunek pól trójkątów o tej samej wysokości jest taki sam jak stosunek ich podstaw. Więc jeżeli
Zadanie 5.2.
127Zadanie 5.8.
127Zadanie 5.11.
128Zadanie 5.12.
128Zadanie 5.18.
129Zadanie 5.23.
129Zadanie 5.24.
129Zadanie 5.25.
129Zadanie 5.26.
130Zadanie 5.27.
130Zadanie 5.30.
130Zadanie 5.34.
130Zadanie 5.35.
130Zadanie 5.39.
131Zadanie 5.40.
131Zadanie 5.51.
132Zadanie 5.52.
132Zadanie 5.53.
132Zadanie 5.54.
132Zadanie 5.55.
132Zadanie 5.56.
133Zadanie 5.58.
133Zadanie 5.59.
133Zadanie 5.61.
133Zadanie 5.63.
134Zadanie 5.68.
134Zadanie 5.70.
134Zadanie 5.78.
136Zadanie 5.79.
136Zadanie 5.80.
136Zadanie 5.81.
136Zadanie 5.82.
137Zadanie 5.86.
137Zadanie 5.87.
137Zadanie 5.12.
139Zadanie 5.14.
140Zadanie 5.16.
140Zadanie 5.26.
141Zadanie 5.27.
141Zadanie 5.29.
141