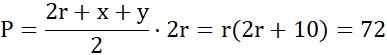
Wiadomo, że pole trapezu ma 72
Skorzystałeś z twierdzenia o stycznych, które zapewnia nam równość boków jak na rysunku. Pole czworokąta wyraża się wzorem
Zadanie 5.2.
127Zadanie 5.8.
127Zadanie 5.11.
128Zadanie 5.12.
128Zadanie 5.18.
129Zadanie 5.23.
129Zadanie 5.24.
129Zadanie 5.25.
129Zadanie 5.26.
130Zadanie 5.27.
130Zadanie 5.30.
130Zadanie 5.34.
130Zadanie 5.35.
130Zadanie 5.39.
131Zadanie 5.40.
131Zadanie 5.51.
132Zadanie 5.52.
132Zadanie 5.53.
132Zadanie 5.54.
132Zadanie 5.55.
132Zadanie 5.56.
133Zadanie 5.58.
133Zadanie 5.59.
133Zadanie 5.61.
133Zadanie 5.63.
134Zadanie 5.68.
134Zadanie 5.70.
134Zadanie 5.78.
136Zadanie 5.79.
136Zadanie 5.80.
136Zadanie 5.81.
136Zadanie 5.82.
137Zadanie 5.86.
137Zadanie 5.87.
137Zadanie 5.12.
139Zadanie 5.14.
140Zadanie 5.16.
140Zadanie 5.26.
141Zadanie 5.27.
141Zadanie 5.29.
141