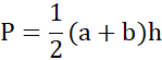
Należy wyznaczyć wysokość trapezu, którego pole wynosi 100
Między wysokością i podstawami masz zależność
Zadanie 5.2.
127Zadanie 5.8.
127Zadanie 5.11.
128Zadanie 5.12.
128Zadanie 5.18.
129Zadanie 5.23.
129Zadanie 5.24.
129Zadanie 5.25.
129Zadanie 5.26.
130Zadanie 5.27.
130Zadanie 5.30.
130Zadanie 5.34.
130Zadanie 5.35.
130Zadanie 5.39.
131Zadanie 5.40.
131Zadanie 5.51.
132Zadanie 5.52.
132Zadanie 5.53.
132Zadanie 5.54.
132Zadanie 5.55.
132Zadanie 5.56.
133Zadanie 5.58.
133Zadanie 5.59.
133Zadanie 5.61.
133Zadanie 5.63.
134Zadanie 5.68.
134Zadanie 5.70.
134Zadanie 5.78.
136Zadanie 5.79.
136Zadanie 5.80.
136Zadanie 5.81.
136Zadanie 5.82.
137Zadanie 5.86.
137Zadanie 5.87.
137Zadanie 5.12.
139Zadanie 5.14.
140Zadanie 5.16.
140Zadanie 5.26.
141Zadanie 5.27.
141Zadanie 5.29.
141