Należy obliczyć pole trapezu równoramiennego, którego przekątne mają 10 cm i tworzą kąt
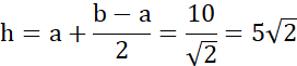
a, b – podstawy trapezu (a < b)
h – wysokość trapezu
Korzystając z własności trójkąta
Korzystając z własności trójkąta
Zadanie 5.2.
127Zadanie 5.8.
127Zadanie 5.11.
128Zadanie 5.12.
128Zadanie 5.18.
129Zadanie 5.23.
129Zadanie 5.24.
129Zadanie 5.25.
129Zadanie 5.26.
130Zadanie 5.27.
130Zadanie 5.30.
130Zadanie 5.34.
130Zadanie 5.35.
130Zadanie 5.39.
131Zadanie 5.40.
131Zadanie 5.51.
132Zadanie 5.52.
132Zadanie 5.53.
132Zadanie 5.54.
132Zadanie 5.55.
132Zadanie 5.56.
133Zadanie 5.58.
133Zadanie 5.59.
133Zadanie 5.61.
133Zadanie 5.63.
134Zadanie 5.68.
134Zadanie 5.70.
134Zadanie 5.78.
136Zadanie 5.79.
136Zadanie 5.80.
136Zadanie 5.81.
136Zadanie 5.82.
137Zadanie 5.86.
137Zadanie 5.87.
137Zadanie 5.12.
139Zadanie 5.14.
140Zadanie 5.16.
140Zadanie 5.26.
141Zadanie 5.27.
141Zadanie 5.29.
141