Pole okręgu wpisanego w trapez o polu
Z tw. Pitagorasa:
Ramię |AD| jest podzielony na odcinki: 4 cm, 4 cm
Ramię |BC| jest podzielony na odcinki: 8 cm, 2 cm
Korzystając ze wzoru na pole koła możesz obliczyć jego promień:
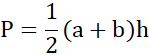
Długość średnicy okręgu wpisanego w trapez jest również długość wysokości tego trapezu, więc
Korzystając z twierdzenia o stycznych wiadomo więc, że ramię |AD| jest podzielony na odcinki: 4 cm, 4 cm, zaś ramię |BC| jest podzielony na odcinki: 8 cm, 2 cm.
Zadanie 5.2.
127Zadanie 5.8.
127Zadanie 5.11.
128Zadanie 5.12.
128Zadanie 5.18.
129Zadanie 5.23.
129Zadanie 5.24.
129Zadanie 5.25.
129Zadanie 5.26.
130Zadanie 5.27.
130Zadanie 5.30.
130Zadanie 5.34.
130Zadanie 5.35.
130Zadanie 5.39.
131Zadanie 5.40.
131Zadanie 5.51.
132Zadanie 5.52.
132Zadanie 5.53.
132Zadanie 5.54.
132Zadanie 5.55.
132Zadanie 5.56.
133Zadanie 5.58.
133Zadanie 5.59.
133Zadanie 5.61.
133Zadanie 5.63.
134Zadanie 5.68.
134Zadanie 5.70.
134Zadanie 5.78.
136Zadanie 5.79.
136Zadanie 5.80.
136Zadanie 5.81.
136Zadanie 5.82.
137Zadanie 5.86.
137Zadanie 5.87.
137Zadanie 5.12.
139Zadanie 5.14.
140Zadanie 5.16.
140Zadanie 5.26.
141Zadanie 5.27.
141Zadanie 5.29.
141