Odpowiedź: Szukana wysokość wynosi 4,8 cm.
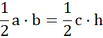
Pamiętaj, niezależnie od tego, jak będziesz liczył pole, wynik będzie ten sam. Wykorzystaj to i zapisz, że połowa iloczynu przyprostokątnych jest równa połowie iloczynu przeciwprostokątnej i wysokości na nią upuszczonej. Możesz pominąć jedną drugą o obliczeniach, bo występuje po obu stronach. Wykonaj mnożenie i wynik podziel przez 10 cm – otrzymasz długość wysokości.