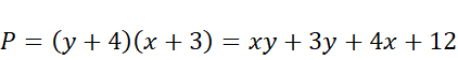
Wyznacz wyrażenie opisujące pole prostokąta o wymiarach (y + 4) × (x + 3).
A.
B.
C.
D.
Odpowiedź: B. (x + 3)(y + 4); D. xy + 4x + 3y + 12
Skorzystaj ze wzoru na pole prostokąta , gdzie a, b – długości boków prostokąta.
Zadanie 1.
Zadanie 2.
Zadanie 3.
Podpunkt a)
Podpunkt b)
Podpunkt c)
Zadanie 4.
Podpunkt I.
Podpunkt II.
Podpunkt d)
Zadanie 5.
Podpunkt e)
Podpunkt f)
Zadanie 6.
Podpunkt III.
Podpunkt I
Podpunkt II