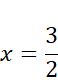
Wyznacz rozwiązanie równania .
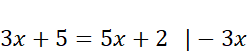
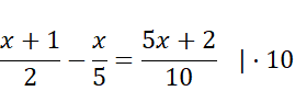
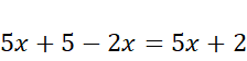
Wyznacz z równania niewiadomą x, przekształcając równocześnie obie strony równania.
Zadanie 1.
Zadanie 2.
Zadanie 3.
Podpunkt a)
Podpunkt b)
Podpunkt c)
Zadanie 4.
Podpunkt I.
Podpunkt II.
Podpunkt d)
Zadanie 5.
Podpunkt e)
Podpunkt f)
Zadanie 6.
Podpunkt III.
Podpunkt I
Podpunkt II