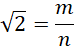
Uzasadnij, że liczba pierwiastek z 2 jest liczbą niewymierną.
Dowód nie wprost:
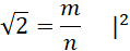
Zakładamy, że 2 jest liczbą wymierną,
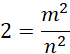
gdy NWD(m,n)=1,
Oznacza to, że 2 jest dzielnikiem m, a 4 dzielnikiem m2
Wnioskujemy, że 2 jest dzielnikiem n, tzn. że ułamek można skrócić przez 2, co jest sprzeczne z założeniem. – c.n.d.
Wykorzystany dowód nie wprost.
Ćwiczenie 1
24Ćwiczenie 2
25Ćwiczenie 3
25Ćwiczenie 6
27Ćwiczenie 8
28Ćwiczenie 9
29Ćwiczenie 10
29Ćwiczenie 13
30Zadanie 3.3
32Zadanie 3.5
32Zadanie 3.9
32Ćwiczenie 15
34Ćwiczenie 16
35Zadanie 3.10
35Zadanie 3.11
35Zadanie 3.12
35Zadanie 3.14
35Zadanie 3.15
35Ćwiczenie 17
37Ćwiczenie 18
37Ćwiczenie 19
38Ćwiczenie 21
38Ćwiczenie 22
39Ćwiczenie 23
39Ćwiczenie 24
39Ćwiczenie 25
40Zadanie 3.16
40Zadanie 3.17
40Zadanie 3.19
41Zadanie 3.20
41Zadanie 3.21
41Zadanie 3.22
41Zadanie 3.23
41Zadanie 3.24
41Zadanie 3.25
41Zadanie 3.26
41Zadanie 3.27
41Ćwiczenie 26
43Ćwiczenie 27
43Ćwiczenie 30
44Zadanie 3.28
44Zadanie 3.29
45Zadanie 3.34
45Zadanie 3.35
45Ćwiczenie 33
47Ćwiczenie 34
48Zadanie 3.37
48Zadanie 3.38
48Zadanie 3.42
49Zadanie 3.46
49Zadanie 3.47
49Zadanie 3.48
49Ćwiczenie 35
50Ćwiczenie 36
51Ćwiczenie 37
51Ćwiczenie 38
51Ćwiczenie 39
52Ćwiczenie 40
52Ćwiczenie 42
53Zadanie 3.50
54Zadanie 3.51
54Zadanie 3.52
54Zadanie 3.53
54Zadanie 3.54
54Zadanie 3.55
54Zadanie 3.56
54Zadanie 3.57
55Zadanie 3.58
55Zadanie 3.59
55Ćwiczenie 43
56Ćwiczenie 44
56Zadanie 3.60
57Zadanie 3.61
57Zadanie 3.62
57Zadanie 3.63
57Zadanie 3.65
58Zadanie 3.66
58