Zadanie

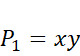
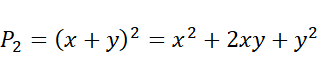
Określ, czy pole prostokąta, którego boki długości x i y zwiększono odpowiednio o y i x, jest teraz dwukrotnie większe od pola czworokąta przed zmianą.

Rozwiązanie

Wyjaśnienie

Zadania z tego działu
8. Rachunek algebraiczny i równania
63
8.1. Zapisywanie wyrażeń algebraicznych
63
8.2. Mnożenie sumy algebraicznej przez jednomian
64
8.5. Przekształcanie wzorów
69
8.6. Zadania tekstowe z zastosowaniem równań
70