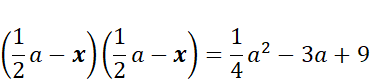
Wstaw w puste pole odpowiednie wyrażenie, aby równość była prawdziwa.
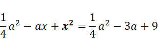
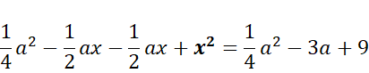
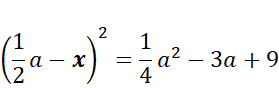
Wstaw w puste miejsce x, a następnie wymnóż przez siebie obie sumy algebraiczne. Kolejno upraszczaj równanie, wyznaczając z niej x.
Zadanie 1.
Zadanie 2.
Zadanie 3.
Podpunkt a)
Podpunkt b)
Podpunkt c)
Zadanie 4.
Podpunkt I.
Podpunkt II.
Podpunkt d)
Zadanie 5.
Podpunkt e)
Podpunkt f)
Zadanie 6.
Podpunkt III.
Podpunkt I
Podpunkt II