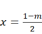
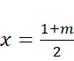
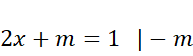
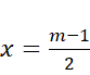
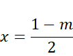
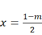
Wyznacz wartość x z równania 2x + m = 1.
A.
B.
C.
D.
Odpowiedź: C.
Przekształć podane równanie w taki sposób, aby po jego jednej stronie znajdowała się zmienna x, a po drugiej – pozostałe wyrażenia.
Zadanie 1.
Zadanie 2.
Zadanie 3.
Podpunkt a)
Podpunkt b)
Podpunkt c)
Zadanie 4.
Podpunkt I.
Podpunkt II.
Podpunkt d)
Zadanie 5.
Podpunkt e)
Podpunkt f)
Zadanie 6.
Podpunkt III.
Podpunkt I
Podpunkt II