Zadanie

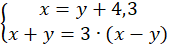
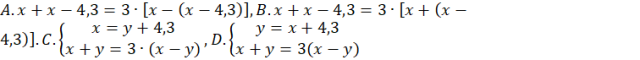
W tym zadaniu musisz zapisać równanie i układ równań, które opisują sytuację, że suma liczb x i y jest trzy razy większa niż ich różnica, a pierwsza liczba jest o 4,3 większa od drugiej. Następnie wybierz odpowiedzi spośród A i B oraz C i D. .

Rozwiązanie

Wyjaśnienie

Zadania z tego działu
7. Układy równań liniowych z dwiema niewiadomymi
158
Równanie liniowe z dwiema niewiadomymi
158
Rozwiązywanie układów równań liniowych z dwiema niewiadomymi
160
Przykłady zadań prowadzących do rozwiązywania układów równań liniowych
167