Zadanie

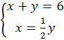
W tym zadaniu musisz wybrać układ równań, który opisuje sytuację: za 1 kg jabłek i 1 kg gruszek zapłacono 6 zł. Cena jednego kilograma jabłek (x) stanowi połowę ceny jednego kilograma gruszek (y).

Rozwiązanie

Wyjaśnienie

Zadania z tego działu
7. Układy równań liniowych z dwiema niewiadomymi
158
Równanie liniowe z dwiema niewiadomymi
158
Rozwiązywanie układów równań liniowych z dwiema niewiadomymi
160
Przykłady zadań prowadzących do rozwiązywania układów równań liniowych
167