x – ilość przejechanych kilometrów po mieście
y – ilość przejechanych kilometrów autostradą.
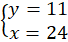
Odpowiedź: Kierowca zużył 24 litry benzyny na jazdę po mieście.
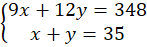
Przyjmij za x ilość przejechanych kilometrów po mieście, a za y ilość przejechanych kilometrów autostradą. Zauważ, że kierowca zrobił w sumie 348 kilometrów, a 9x to ilość kilometrów przejechana w mieście, zużywając x litrów paliwa, a 12y to ilość kilometrów przejechana autostradą, zużywając y litrów paliwa, zapisz równanie:
Oblicz x z drugiego równania:
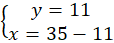
Podstaw x do pierwszego równania i oblicz y:
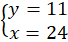
Podstaw y do drugiego równania i oblicz x: