W tym zadaniu oblicz, jaka część basenu zostanie napełniona w 12 minut, jeśli odkręcone są równocześnie kran z zimną wodą, który napełnia basen w 48 minut, i kran z ciepłą wodą, który napełnia basen w 60 min.
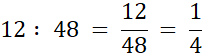
Część basenu jaką napełni kran z zimną wodą w 12 minut:
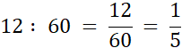
Część basenu jaką napełni kran z ciepłą wodą w 12 minut:
Część basenu jaką napełnią dwa krany w 12 minut:
W tym oba krany napełnią
Żeby sprawdzić jaką część basenu napełnia każdy z kranów w 12 minut, sprawdzamy jaką częścią całego napełniania jest 12 minut, czyli dzielimy 12 przez liczbę minut napełniania.
Na koniec dodajemy do siebie oba wyniki.
Zadanie 1 zamknięte
84Zadanie 3 zamknięte
84Zadanie 11 zamknięte
85Zadanie 2.
86Zadanie 9.
86Zadanie 1 zamknięte
87Zadanie 3 zamknięte
88Zadanie 4 zamknięte
88Zadanie 9 zamknięte
89Zadanie 1
92Zadanie 3
93Zadanie 15
94Zadanie 17
95Zadanie 1 zamknięte
95Zadanie 4 zamknięte
96Zadanie 5 zamknięte
96Zadanie 6 zamknięte
96Zadanie 9 zamknięte
97Zadanie 4.
98Zadanie 1 zamknięte
99Zadanie 12 zamknięte
100Zadanie 13 zamknięte
101Zadanie 1.
101Zadanie 3.
101Zadanie 1 zamknięte
103Zadanie 2 zamknięte
103Zadanie 6 zamknięte
104Zadanie 4.
105Zadanie 5.
106Zadanie 6.
106Zadanie 8.
106Zadanie 3 zamknięte
107Zadanie 6 zamknięte
108Zadanie 9 zamknięte
109Zadanie 2.
110Zadanie 8.
110Zadanie 9.
111Zadanie 10.
111Zadanie 11.
111Zadanie 13.
111Zadanie 1 zamknięte
112Zadanie 7 zamknięte
113Zadanie 5.
116