W tym zadaniu oblicz, o ile dni wydłuży się czas wykonywania pracy, jeśli 8 pracowników wykonałoby ją w 15 dni, ale po 5 dniach 3 z nich poszło na urlop.
Sposób I (algebraiczny)
Jeżeli wydajność każdego pracownika jest taka sama to:
wykonana praca = czas jej trwania ∙ liczba osób.
Wykonaną pracę oznaczamy 1 (cała praca).
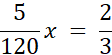
5 dni to
15 dni, 8 pracowników: wykonana praca = 1
1 dzień, 8 pracowników: wykonana praca =
5 dni, 8 pracowników: wykonana praca =
1 dzień, 1 pracownik: wykonana praca =
x dni, 5 pracowników: wykonana praca =
Można zapisać równoważnie:
Gdzie 5 to liczba pracowników,
x = 16
Pięciu pracowników pracowałoby jeszcze przez 16 dni. Gdyby było ich ośmiu, to dalszą część pracy wykonaliby w ciągu 10 dni. A więc czas pracy wydłuży się o 16 – 10 = 6 dni.
Sposób II (geometryczny)
Praca miała być wykonana przez 8 pracowników w ciągu 15 dni.
Zwróć uwagę na prostokąt, który przedstawia pracę:
8 pracowników ∙ 15 dni.
5 dni to
a to liczba dni, o które wydłuży się czas pracy.
Po 5 dniach liczba pracowników zmniejszyła się o 3.
Przedstawione iloczyny na jednakowo pokolorowanych prostokątach muszą być równe: to czego nie wykonają 3 nieobecni pracownicy, musi wykonać pozostałych 5 pracowników, dlatego ich czas pracy będzie wydłużony.
Można zapisać równanie:
5 ∙ a = 3 ∙ 10
5a = 30
a = 6
Odpowiedź. Czas wykonywanej pracy wydłuży się o 6 dni.
Dzielenie możemy zastąpić mnożeniem razy liczbę odwrotną, czyli taką, w której licznik jest zamieniony miejscami z mianownikiem.
Zadanie 1 zamknięte
84Zadanie 3 zamknięte
84Zadanie 11 zamknięte
85Zadanie 2.
86Zadanie 9.
86Zadanie 1 zamknięte
87Zadanie 3 zamknięte
88Zadanie 4 zamknięte
88Zadanie 9 zamknięte
89Zadanie 1
92Zadanie 3
93Zadanie 15
94Zadanie 17
95Zadanie 1 zamknięte
95Zadanie 4 zamknięte
96Zadanie 5 zamknięte
96Zadanie 6 zamknięte
96Zadanie 9 zamknięte
97Zadanie 4.
98Zadanie 1 zamknięte
99Zadanie 12 zamknięte
100Zadanie 13 zamknięte
101Zadanie 1.
101Zadanie 3.
101Zadanie 1 zamknięte
103Zadanie 2 zamknięte
103Zadanie 6 zamknięte
104Zadanie 4.
105Zadanie 5.
106Zadanie 6.
106Zadanie 8.
106Zadanie 3 zamknięte
107Zadanie 6 zamknięte
108Zadanie 9 zamknięte
109Zadanie 2.
110Zadanie 8.
110Zadanie 9.
111Zadanie 10.
111Zadanie 11.
111Zadanie 13.
111Zadanie 1 zamknięte
112Zadanie 7 zamknięte
113Zadanie 5.
116