W tym zadaniu musisz wykonać czynności opisane w sposobie 2. uzasadnienia wzoru na pole trapezu.
Zegnij trapez wzdłuż prostej równoległej do podstaw figury, która przecina ramiona w połowie (szara linia przerywana).
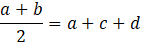
Zauważ, że zachodzi równość
Zagnij trójkątne rogi figury do środka wzdłuż czerwonych przerywanych linii.
Otrzymana figura to prostokąt, które boki to: połowa wysokości trapezy oraz bok o długości
Zauważ, że zachodzi równość:
Pole prostokąta:
Zauważ, że pole trapezu jest równe dwóm polom prostokata.
Pole trapezu:
Co uzasadnia wzór na pole trapezu.
Postępuj analogicznie według przykładu z książki.
Zadanie 2.
224Zadanie 5.
224Zadanie 6.
224Ćwiczenie 1.
229Zadanie 3.
232Zadanie 4.
232Zadanie 5.
232Zadanie 7.
232Zadanie 10.
233Zadanie 11.
233Zadanie 13.
234Zadanie 1.
242Zadanie 4.
243Zadanie 11.
244Zadanie 16.
245Zadanie 19.
245Zadanie 29.
246Zadanie 31.
247Zadanie 33.
247Zadanie 42.
249Ćwiczenie 1.
251Ćwiczenie 2.
253Ćwiczenie 7.
257Ćwiczenie 8.
259Zadanie 3.
259Zadanie 4.
259Zadanie 6.
259Zadanie 13.
260Zadanie 18.
261Zadanie 19.
261Zadanie 20.
262Zadanie 4.
264Zadanie 6.
265Zadanie 16.
267Zadanie 17.
267Zadanie 18.
267Zadanie 20.
267Zadanie 22.
268Zadanie 25.
268