W tym zadaniu musisz obliczyć pole powierzchni przedstawionej figury.
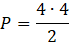
P = 8
P = 6 ∙ 8
P = 48 cm2
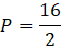
Przedstawiony sześciokąt podzielony jest na 6 równych trójkątów. Wzór na pole trójkąta to
Zadanie 2.
224Zadanie 5.
224Zadanie 6.
224Ćwiczenie 1.
229Zadanie 3.
232Zadanie 4.
232Zadanie 5.
232Zadanie 7.
232Zadanie 10.
233Zadanie 11.
233Zadanie 13.
234Zadanie 1.
242Zadanie 4.
243Zadanie 11.
244Zadanie 16.
245Zadanie 19.
245Zadanie 29.
246Zadanie 31.
247Zadanie 33.
247Zadanie 42.
249Ćwiczenie 1.
251Ćwiczenie 2.
253Ćwiczenie 7.
257Ćwiczenie 8.
259Zadanie 3.
259Zadanie 4.
259Zadanie 6.
259Zadanie 13.
260Zadanie 18.
261Zadanie 19.
261Zadanie 20.
262Zadanie 4.
264Zadanie 6.
265Zadanie 16.
267Zadanie 17.
267Zadanie 18.
267Zadanie 20.
267Zadanie 22.
268Zadanie 25.
268