W tym zadaniu znajdź liczby, które należy wpisać w puste pola kwadratu magicznego o wymiarach 3 x 3, w którym w pierwszym wierszu w kolumnie trzeciej znajduje się liczba
Suma na przekątnej:
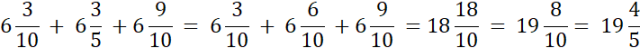
Suma w trzecim wierszu jest równa
Suma w trzeciej kolumnie jest równa
Suma w drugim wierszu jest równa
Suma w pierwszej kolumnie jest równa
Suma w pierwszej kolumnie jest równa
Kwadrat magiczny to taki, w którym suma wartości we wszystkich wierszach, kolumnach i na przekątnych jest taka sama. Liczymy tę sumę, a następnie w wierszach lub kolumnach, gdzie jest tylko jedna brakująca wartość od sumy odejmujemy pozostałe 2 wartości.
Zadanie 1 zamknięte
84Zadanie 3 zamknięte
84Zadanie 11 zamknięte
85Zadanie 2.
86Zadanie 9.
86Zadanie 1 zamknięte
87Zadanie 3 zamknięte
88Zadanie 4 zamknięte
88Zadanie 9 zamknięte
89Zadanie 1
92Zadanie 3
93Zadanie 15
94Zadanie 17
95Zadanie 1 zamknięte
95Zadanie 4 zamknięte
96Zadanie 5 zamknięte
96Zadanie 6 zamknięte
96Zadanie 9 zamknięte
97Zadanie 4.
98Zadanie 1 zamknięte
99Zadanie 12 zamknięte
100Zadanie 13 zamknięte
101Zadanie 1.
101Zadanie 3.
101Zadanie 1 zamknięte
103Zadanie 2 zamknięte
103Zadanie 6 zamknięte
104Zadanie 4.
105Zadanie 5.
106Zadanie 6.
106Zadanie 8.
106Zadanie 3 zamknięte
107Zadanie 6 zamknięte
108Zadanie 9 zamknięte
109Zadanie 2.
110Zadanie 8.
110Zadanie 9.
111Zadanie 10.
111Zadanie 11.
111Zadanie 13.
111Zadanie 1 zamknięte
112Zadanie 7 zamknięte
113Zadanie 5.
116